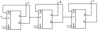
Klopný obvod typu D
Je to synchronní obvod se dvěma stabilními stavy. Reaguje na nástupní hranu hodinového impulsu. Je vybaven vstupy pro nastavení - S a nulování - R na hodinových impulsech, které jsou nezávislé. Informace přichází na vstup D, hodinové impulsy na vstup C.
Značka:

Pravdivostní tabulky:
| tn | tn+1 |
| 0 | Qn+1 |
| 0 | 0,00 |
| 1 | 1,00 |
| D | C | Qn+1 |
| 0 | 0 | Qn |
| 1 | 0 | Qn |
| 0 | 1 | 0 |
| 1 | 1 | 1 |
Příklad : Asynchronní čítač typu D

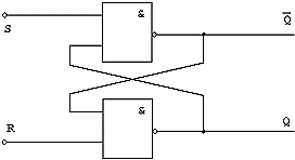
Klopný obvod typu RS
Je to sekvenční obvod se dvěma stabilními stavy - pouívá se jako pamě?ový člen na jeden bit, pouívá se na stavbu registrů, čítačů apod. Funkční schéma se členy NAND:

KO má řídící vstup S (nastavení) pro nastavení obvodu do stavu Q=1) a řídící vstup R (nulování) pro nastavení výstupu Q=0. Stav R=S=1 je zakázaný.
| S | R | Qn+1 |
| 0 | 0 | Qn |
| 1 | 0 | 1 |
| 0 | 1 | 0 |
| 1 | 1 | X |
X - zakázaný stav
Související odkazy
http://lucy.troja.mff.cuni.cz/~tichy/kap6/6_5.html#553 - klopný obvod D
http://lucy.troja.mff.cuni.cz/~tichy/kap6/6_5.html#551 - klopný obvod RS