| Speciální teorie relativity Autor: Neznámý Díky moc! |
Stáhněte si referát ve formátu MS Word |
Newtonova fyzika a Galileova transformace
Podle prvního pohybového zákona setrvává kadé těleso v klidu nebo rovnoměrném přímočarém pohybu, dokud není přinuceno působením jiného tělesa tento stav změnit. Souřadná soustava v ní pak platí pohybový zákon se nazývá inerciální soustava. Pohybuje-li se soustava souřadnic S (viz. obr. 1) vzhledem k jiné inerciální soustavě souřadnic S rovnoměrně přímočaře, pak soustava S je opět inerciální; pohybuje-li se zrychleně nebo nepřímočaře, je neinerciální.

Obrázek 1 - souřadné inerciální soustavy S a S'
Budeme nyní uvaovat dvě referenční inerciální soustavy S a S' (viz obr. 1). Osy x a x' se překrývají a budeme předpokládat, e souřadná soustava S' se bude pohybovat směrem doprava rychlostí v vzhledem k soustavě S. Pro jednoduchost umístěme počátky soustav souřadných v čase t = 0 do stejného místa. Nyní uvaujme událost, která se přihodí v bodě P o souřadnicích x', y', z' (soustavy S') v čase t. Nyní nás bude zajímat, jaké budou souřadnice této události v soustavě S. Vzhledem k tomu, e soustavy se v čase t = 0 překrývají přesně, v čase t > 0 se bude soustava nacházet ve vzdálenosti
x = x' + vt'
a ostatní souřadnice (vzhledem k tomu, e se celá souřadná soustava pohybuje podél osy x budou
y = y' z = z'
V Newtonově fyzice se předpokládá, e časy t a t' jsou totoné v obou inerciálních soustavách. Potom definujeme tzv. Galileovu transformaci:
x = x' + vt
y = y'
z = z'
t = t'
Tyto rovnice udávají souřadnice události v inerciální soustavě S, kdy jsou známe souřadnice v inerciální soustavě S'. Pokud známe souřadnice v soustavě S, můeme snadno vypočítat inverzní transformací souřadnice v soustavě S':
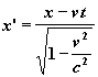
x' = x - vt
y' = y
z' = z
t' = t
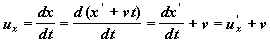
Nyní přepokládejme, e bod P představuje částici, která se pohybuje v daném směru. Sloky vektoru rychlosti u'x, u'y, u'z, je potom mono vyjádřit jako:
![]()
Rychlost bodu P, tak jak je pozorována z inerciální soustavy S bude mít sloky ux, uy, uz. Jejich vztah ke slokám ze soustavy S' je mono vyjádřit pomocí následující transformace:
![]()
![]()
![]()
Tyto rovnice jsou známy jako Galileova transformace.
Newtonova fyzika je zaloena na předpokladech, které jsou získány ze zkuenosti z kadodenního ivota. Mezi ně patří předpoklad, e délka vech těles je stejná ve vech inerciálních soustavách, e čas ubíhá v různých inerciálních soustavách stejnou rychlostí. Tyto předpoklady jsou vyjádřeny v definici, e vechny inerciální soustavy jsou ekvivalentní.
Tyto teorie vak začaly dostávat první trhliny v druhé polovině minulého století, obzvlátě se studiem rychlosti světla. Teprve Albert Einstein doel k vysvětlení, které definoval ve svých dvou hlavních postulátech - principu relativity a neměnnosti rychlosti světla. Dalo by s proto říci, e obzvlátě druhý postulát vyvrací Galileovu transformaci. Ukázalo se vak, e Galileova transformace platí, ale pro rychlosti, které jsou mnohonásobně mení ne je rychlost světla.
Lorentzova transformace
Jak vyplývá z předcházejících odstavců, bylo nezbytné odvodit nové transformace, které by splňovaly následující podmínky:
Pokud budeme opět uvaovat dvě inerciální soustavy S a S' (viz. obr. 1). Soustava S' se pohybuje ve směru osy x rychlostí v srovnatelnou s rychlostí světla. V čase t = 0 jsou počátky obou inerciálních soustav souřadných identické. Budeme proto předpokládat, e transformace je lineární a má takovouto formu:
x' = g (x - vt)
rovnice 1
x = g (x + vt)
rovnice 2
kde konstanta g bude následovně určena.
Nyní, kdy světelný paprsek opustí společný počátek O = O v čase t = t = 0, pak v čase t > 0 urazil na ose x vzdálenost
x = ct
rovnice 3
x = ct
rovnice 4
Potom dosazením do těchto rovnic z rovnic 1 a 2 dostaneme
x = ct = g (ct + vt) = g (c + v)t
rovnice 5
x = ct = g (ct - vt) = g (c - v) t
rovnice 6
Dalí úpravou a substitucí t z rovnice 5 dostaneme výraz
ct = g (c + v).
rovnice 7
a potom ji můeme vyjádřit z této rovnice g :

rovnice 8
Nyní nám ji zbývá pouze určit vztah mezi t a t. Toho můeme dosáhnout zkombinováním rovnic 1 a 2.
x = g (x - vt) = g [g (x + vt)) - vt]
pak
t = g 
rovnice 9
. Potom s pomocí rovnice 8 vyjádříme t:

rovnice 10
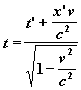
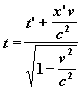
Nyní můeme celou Lorentzovu transformaci zapsat:

y = y
z = z

a pro transformaci v opačném směru
y = y z = z

Zde stojí obzvlátě za pozornost rovnice pro čas, protoe zde je patrné, e čas není povaován za absolutní, ale e závisí na pozici pozorovatele. Z této teorie plynou rovně dalí důsledky, které budou popsány dále
Kontrakce délek
Podobně jako čas ztratil svojí absolutní hodnotu v závislosti na pozici pozorovatele, dochází k podobné situaci u délkových vzdáleností. Délka je ve speciální teorii relativita rovně závislá na inerciální soustavě, v které se nachází pozorovatel.

Obrázek 2
Předpokládejme opět dvě inerciální soustavy S a S, z nich jedna se
pohybuje rychlostí v (viz. obr. 2 - stejné umístění a pohyb, jako
v případě u obrázku 1 ). V inerciální soustavě S je umístěna tyč
vodorovně s osou x . Délka tyče v inerciální soustavě S je l0 ,
která je určena pomocí souřadnic
koncových bodů ve stejném časovém okamiku:
l0 = ![]()
rovnice 11
V jakémkoliv časovém okamiku je moné určit koncové souřadnice tyče
v rámci inerciální soustavy
S pomocí Lorentzovy transformace. Délku tyče l můeme vyjádřit v této
soustavě S jako:
l = ![]()
rovnice 12
K vyjádření délky tyče l v inerciální soustavě S pouijeme Lorentzovu transformaci a tím získáme:
![]()

nebo pro opačný převod:
rovnice 13
Tato rovnice udává délku tělesa, jakou naměří pozorovatel, pokud se objekt kolem něj bude pohybovat rychlostí v. Je nutné podotknout, e e délková kontrakce se objevuje pouze ve směru pohybu.
Tato délková kontrakce je jedním z obecných výsledků speciální teorie relativity a platí jak pro délky objektů, tak pro vzdálenosti. Tento výsledek je moné shrnout do definice: Délka tělesa pohybujícího je kratí, ne pokud by se těleso nacházelo v klidu.
Délka l0 se nazývá té skutečná délka - je to délka, kterou by naměřil pozorovatel pokud by byl vůči tělesu v klidu.
Dilatace času
Einsteinova speciální teorie relativity rovně předpověděla, e čas ubíhá rozdílnou rychlosti v různě se pohybujících inerciálních soustavách.
Předpokládejme, e máme zdroj světla v inerciální soustavě S, která se pohybuje rychlostí v blízké rychlosti světla (viz. obr. 3)

Obrázek 3
Souřadnice světla jsou v inerciální soustavě S: [x', y', z']
Nyní nás bude zajímat interval D t - časový rozdíl
mezi dvěma událostmi, které se odehrají v soustavě S (například čas mezi
dvěma zablesknutími árovky v soustavě S). První událost se odehraje
v čase
a druhá v čase
a proto můeme tento rozdíl vyjádřit jako
![]()
rovnice 14
Pokud budeme chtít zjistit D t mezi dvěma záblesky tak, jak by ji změřil pozorovatel v inerciální soustavě S, musíme opět pouít Lorentzovu transformaci. Časový úsek v inerciální soustavě S
![]()
rovnice 15
proto upravíme pomocí Lorentzovy transformace na a z rovnic 14 a 15 dostaneme:

nebo vyjádřeno v zjednoduené formě:
![]()
rovnice 16
Jeliko vztah
je vdy mení
ne 1, je zřejmé, e platí tato nerovnost
![]()
rovnice 17
Tato rovnice vyjadřuje, e pro pozorovatele v nepohybující se inerciální soustavě (S) se časový úsek mezi dvěma událostmi zdá delí, ne stejný úsek pro pozorovatele, který se nachází v inerciální soustavě, která se pohybuje (S). Tento výsledek plynoucí ze speciální teorie relativity se nazývá dilatace času. Obecně se dá říct, e pohybující se hodiny jdou pomaleji. Tento efekt (jak je zřejmé z rovnice 16) je vak patrný teprve, pokud se hodnota rychlosti v přiblíí rychlosti světla, jinak je tento efekt zanedbatelný. Toto platí rovně pro ostatní rovnice (kontrakce délek...)
Dilatace času patří snad právě k těm nejhůře pochopitelným (s ohledem na naí lidskou zkuenost) částem speciální teorie relativity. Patří rovně k velice těko prokazatelným, protoe není v lidských schopnostech sestrojit objekt, který byl schopen se pohybovat rychlostí blízkou rychlosti světla. Natěstí jsme schopni sestrojit velice přesné atomové hodiny, které jsou schopné tuto dilataci zaznamenat i při niích rychlostech (niích vzhledem k rychlosti světla).
Hmotnost, hybnost a energie ve speciální teorii relativity
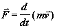
Podle klasické Newtonovské fyziky platí, e pokud působíme na těleso konstatní silou, těleso je touto silou neustále urychlováno. Podle druhého Newtonova zákona by takový objekt měl být schopen přesáhnout dokonce rychlost světla. Toto je vak v rozporu s Einsteinovým tvrzením o rychlosti světla jako maximální dosaitelné hodnoty. Proto, aby toto vyhovovalo i relativistickému pojetí, je nutno druhý Newtonův zákon (F=ma) upravit do tvaru:
![]()
rovnice 18
kde hmotnost není ji konstantní, ale je funkcí rychlosti.
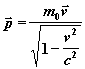
Dále předpokládejme, e hybnost tělesa vyjádřená rovnicí
, kde m je vak funkcí rychlosti. Pomocí
Lorentzovy transformace rovně můeme odvodit vztah pro hmotnost s ohledem na
rychlost:

rovnice 19
kde m0 je tzv. klidová hmotnost, vzhledem k inerciální soustavě, ve které se nachází a vůči které není v pohybu.
Nyní z rovnice 19 můeme doplnit vztah pro hybnost:

rovnice 20
Nyní zbývá určit výraz, který by vyjadřoval vztah mezi hmotností a energií.
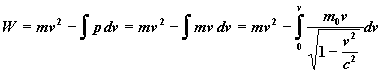
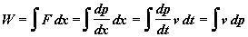
Práce, kterou je potřeba vykonat, aby se zvýila rychlost tělesa z 0 na v je můeme zapsat jako:
![]()
rovnice 21
Protoe d(pv) = p dv + v dp, můeme psát:
v dp = d(pv) - p dv
rovnice 22
a potom substitucí získáme rovnici
![]()
rovnice 23
Protoe integrování je přesným opakem derivování, můeme výraz
přepsat do tvaru:
rovnice 24
kde m je funkcí v. Pak můeme celý vztah přepsat jako

rovnice 25
Po spočítání tohoto integrálu můeme vyjádřit konečně rovnici takto:

rovnice 26
Protoe vykonaná práce se musí rovnat kinetické energii můeme tuto skutečnost zapsat jako:

rovnice 27
kde pro rychlosti v << c výraz přechází do klasického tvaru Ek = 1/2 mv2 (Taylorův rozvoj hodnoty m = g m0v rychlosti do druhého řádu vede na klasický vztah Ek = 1/2 mv2). Výraz m0c2 se někdy té označuje jako klidová energie. Pokud tuto rovnici přepíeme do tvaru
![]()
rovnice 28
dostává se nám nového pohledu na tuto problematiku. Výraz mc2 se nazývá celková energie E objektu, která je sloená z energie v klidu plus z hodnoty kinetické energie. Celý tento poznatek můeme zapsat do známé Einsteinovy rovnice

rovnice 29
a pro objekt nacházející se v klidu
E0 = m0c2
rovnice 30
Celá tato jednoduchá rovnice vyjadřuje revoluční vztah mezi hmotností a energií, kdy hmota můe být přeměněna na energii a naopak. Energie se zvýí pokud se sníí hmotnost, pokud se zvýí hmotnost, musí se dodat energie. Hmotnost a energie jsou zaměnitelné veličiny.
Jednoduchou úpravou můeme dospět k rovnici, která se nazývá Pythagorova věta o energii.
![]()
rovnice 31
Jde o uitečné vyjádření kvadrátu velikosti čtyřvektoru hybnosti. Tento vzorec je moné vyuít například pro fotony jejich klidová hmotnost je nulová.
Závěr
Na konci 19. století se zdálo, e ji není mnoho věcí, které by nebyly ve fyzice vysvětleny. Pak se vak objevila Einsteinova teorie speciální relativity, která značně rozířila fyzikální chápání světa a zároveň vysvětlila mnoho jevů. Teorie speciální relativity si vímá, jak se události a objekty jeví pozorovatelům v různých inerciálních soustavách. Velkým úspěchem bylo sjednocení klasické a speciální teorie relativity, kdy při nízkých rychlostech se vzorce zredukují na vzorce klasické relativity.
Speciální teorie vak není aplikovatelná v neinerciálních soustavách. S tímto problémem se zabývá teorie obecné relativity. Její vysvětlení vak přesahuje rámec této práce.
Shrnutí nejdůleitějích faktů
Klasická teorie relativity:
Mechanické děje dopadnou ve vech inerciálních soustavách stejně. ádný z inerciálních systémů není nijak privilegován. Tento princip vychází z Galileovy transformace mezi dvěma souřadnicovými systémy vzájemně se pohybujícími v ose x konstantní rychlostí v.
Speciální teorie relativity
1. Mechanické i elektromagnetické děje dopadnou ve vech inerciálních systémech stejně. ádný z inerciálních systémů není nijak privilegován.
2. Rychlost světla je ve vech inerciálních souřadnicových soustavách stejná. Princip konstantní rychlosti světla je obsaen v Maxwellových rovnicích a je podpořen celou řadou experimentů, z nich nejznámějí je Michelsonův experiment. Odpovídající transformace se nazývá Lorentzova transformace
Pouitá literatura
Kapitoly ze speciální teorie relativity - Bartuka K.
Physics - Pekárek, S. Murla M.
An introduction to special relativity and its applications - Robinson. F. N. H.
Zdroje na Internetu:
http://ourworld.compuserve.com/homepages/eric_baird/sr_home.htm
http://www.desy.de/user/projects/Physics/relativity.html
http://somerset.qld.edu.au/billspages/relativity/relativity.html
http://aldebaran.feld.cvut.cz/vyuka/fyzika_2_kulhanek/relativita.html
http://math.washington.edu/~hillman/relativity.html
http://www.tri-c.cc.oh.us/METRO/Faculty/Gram/web/rel-spec.htm